2022. 1. 4. 04:58ㆍ열 물리학
[Ref: Feynman vol 1.chaper 32 ,feynman Lectures on physics]
https://www.feynmanlectures.caltech.edu/I_32.html
[Ref:David J.Griffiths chapter: radiation]
두 참고자료 모두 좋습니다. 복사저항 내용은 파인만에서 다루고 있고 처음 유도과정은 그리피스에서 깔끔하게 다루고 있습니다. 편하신데로 읽어보시는 것을 추천합니다.
[Radiation resistance 복사저항]

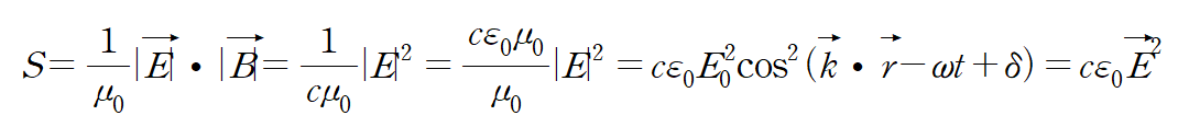
$S$ is the amount of energy that passes per square meter per second through a surface normal to the direction in which the radiation (또는 단색광의 pointing vector)
---------------------------------------------------------------------------------------------------------------------------------
위 식의 유도는 다음과 같다.

포인팅 벡터방향은 에너지가 전달되는 방향과 같으며 항상 전기장 및 자기장과 수직인 임의의 방향을 설정하면 된다. S의 크기만 먼저 고려하면

즉

---------------------------------------------------------------------------------------------------------------------------------
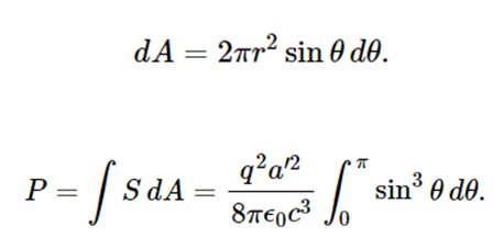
antenna act like a resistance [energy going into space]
case of a charge accelerating

(전자기학에서 알려진 사실이므로 자세한 전개과정은 전자기학 파트에서 유도하도록 하겠다.)


sin 세제곱적분 값은 4/3이다.
acceleration $a'$ is

가속도의 평균은

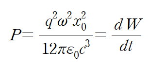
그러므로 total energy radiated per second

----------------------------------------------------------------------------------------------------------------------
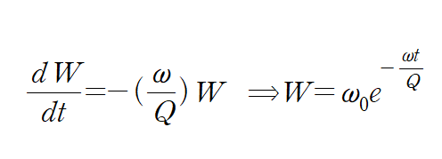
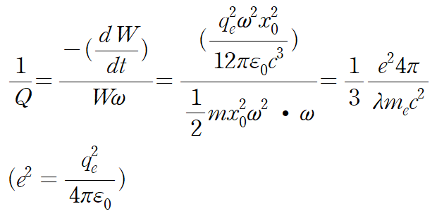
[radiation damping]
(저항을 얘기하기위해 고전역학에서 배우는 진동자의 댐핑(일종의 브레이크) 를 빛에서 응용하는 파트입니다.)
(파인만 강의록을 참고했습니다.)
(https://www.feynmanlectures.caltech.edu/I_32.html)
The Feynman Lectures on Physics Vol. I Ch. 32: Radiation Damping. Light Scattering
Now we shall calculate the total energy radiated by an accelerating charge. To keep the discussion general, we shall take the case of a charge accelerating any which way, but nonrelativistically. At a moment when the acceleration is, say, vertical, we know
www.feynmanlectures.caltech.edu
oscillating charge will not oscillator “forever” even in empty (charge는 계속 진동할 수는 없다)



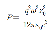
total energy radiated per second

for an oscillator


이 됨을 보일 수 있다.


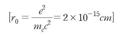
$r_0$ is classical election radius

This means that an atomic oscillator will oscillate for $10^8$radians or about $10^7$ oscillations
'열 물리학' 카테고리의 다른 글
| [열 물리학 30] 고전 열 물리에서 현대 열 물리까지 (5) Planck's radiation law (0) | 2022.01.04 |
|---|---|
| [열 물리학 29] 고전 열 물리에서 현대 열 물리까지 (4) - scattering of lights (빛의 산란) (0) | 2022.01.04 |
| [열 물리학 27] 고전 열 물리에서 현대 열 물리까지 (2) -thermal equilibrium of radiation (복사 열평형) (0) | 2022.01.04 |
| [열 물리학 26] 고전 열 물리에서 현대 열 물리까지 (1) -Three mechanisms of Heat Transfer (열전달의 세가지 방법) (0) | 2022.01.04 |
| [열 물리학 25 ] Entropy of mixing (0) | 2021.12.30 |